静电放电发生器(Electrostatic Discharge,ESD)主要应用于电子产品设备对人体静电放电模型的抗干扰实验。静电放电发生器分为静电发生器和静电放电发生枪,静电发生器中的输出有的是正电荷或者是负电荷,也有正负电荷可以自由转换,电压双极性高精度输出连续可调,所以静电放电发生器可用于绝大多数电气与电子设备的静电放电试验。
测试标准;为了检验电子设备受到外来静电放电时能否正常工作,是国际电工委员会标准IEC61000-4-2 Electromagnetic compatibility (EMC) - Part 4: Testing and measurement techniques - Section 2: Electrostatic discharge immunity test. Basic EMC Publication,已同名等效转化为我国标准GB/T 17626.2-2006《电磁兼容试验和测试技术静电放电抗扰度试验》的唯一试验设备。
在IEC61000-4-2 电磁兼容性(EMC) — 4部分:测试和测量技术 — 第2部分:静电放电抗扰度测试中等效于我国标准GB/T 17626.2-2006《电磁兼容试验和测试技术静电放电抗扰度试验》中。
GB/T 17626的本部分范围规定了电气和电子设备遭受直接来自操作者及其操作者对邻近物体的静电放电时的抗扰度要求和试验方法,还规定了不同环境和安装条件下试验等级的范围和试验程序。
电磁兼容试验和测试技术静电放电抗扰度试验
GB/T 4365—2003界定的以及下列术语和定义----------
空气放电方法 air discharge method ;
将试验发生器的充电电极靠近受试设备直至接触到受试设备的一种试验方法。
抗静电材料 antistatic material;
在同种材料或与其他类似材料相互摩擦或分离时,具有产生电荷量最小特性的材料。
接触放电方法 contact discharge method ;
试验发生器的电极保持与受试设备的接触并由发生器内的放电开关激励放电的一种试验方法。
耦合板 coupling plane ;
一块金属片或金属板,对其放电用来模拟对受试设备附近物体的静电放电。
HCP为水平耦合板;VCP为垂直耦合板。
直接放电direct application
直接对受试设备实施放电。
电磁兼容性 electromagnetic compatibility EMC;
设备或系统在其电磁环境中能正常工作且不对该环境中任何事物构成不能承受的电磁骚扰的 能力。
静电放电 electrostatic discharge; ESD;
具有不同静电电位的物体相互靠近或直接接触引起的电荷转移。
储能电容器 energy storage capacitor ;
静电放电发生器中的电容器,用以代表人体充电至试验电压值时的电容量。
接地参考平面 ground reference plane;
GRP 一块导电平面,其电位用作公共参考电位。
保持时间 holding time ;
放电之前,由千泄漏而使试验电压下降不大于10%的时间间隔。
(对骚扰的)抗扰度 immunity (to a disturbance) ;
装置、设备或系统面临电磁骚扰不降低运行性能的能力。
间接放电 indirect application ;
对受试设备附近的耦合板实施放电,以模拟人员对受试设备附近的物体的放电。
上升时间 rise time ;
脉冲瞬时值首次从脉冲幅值的 10%上升到90%所经历的时间。
试验等级
在实验中接触放电是优先选择,只有在不能使用的情况下才选择空气放电。表1中给出了每种试验方法的电压。 由于试验方法不同,每种方法的电压也不同,但是并不是说这两者的电压大小相同,二者之间还是有很大的区别的。
表1 试验等级
试验发生器
试验发生器的主要部分包括;
充电电阻Rc;
储能电容器Cs;
分布电容Cd;
放电电阻Rd;
电压指示器;
放电开关;
充电开关;
放电回路电缆;
电源装置;
可更换的放电电极头(见图4);

图1 静电放电发生器的简图
电路原理首先是闭合充电开关直流高压源给CS+Cd(图中Cd在于发生器和周围之间的分布电容)电容充电,当电容电量饱和后断开充电开关(负载电阻Rc在充电过程中保护充电电路),然后闭合放电开关形成放电环路通过放电头释放输出(负载Rd在输出电电路中器保护作用)。
表2 通用规范
表3 接触放电电流波形参数
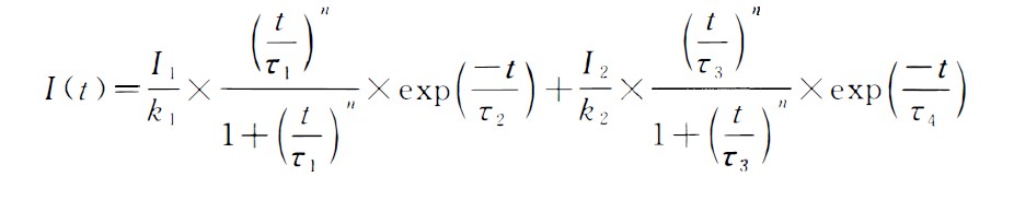
图2 4 kV理想的接触放电电流波形
图2的理想波形方程I(t),如下所示:
式中;
静电放电发生器的特性
试验发生器应满足表2和表3中的规范。 图2给出了表2和表3中规定的理想电流波形和测散点。可以按照下面电流测量系统的校准和放电电流测量的方法验证。
电流测量系统的校准和放电电流测量
电流靶安装在垂直校准平面中心。静电放电发生器的放电回路电缆(接地线)应连 接在平面中心底部低于靶0.5 m处。 接地线应在电缆中心向后拉,形成一个等腰三角形。 校准时,接地线不应平放在地板上。
安装如下步骤验证静电放电发生器的电流波形是否符合规格。 记录波的形状和测鼠如下参数:
Ip峰值放电电流,单位为安培(A);
I30从到达峰值电流I,,的0.1倍电流值处开始,30 ns 后的电流值,单位为安培(A);
I60从到达峰值电流I!,的0.1倍电流值处开始,60 ns 后的电流值,单位为安培(A);
t r电流的上升时间,单位为纳秒(ns) 。
表4接触放电校准程序
图3 静电放电发生器性能校准的典型配置
注1:发生器宜安装在三脚架或等效的非金属低损耗的支撑物上。
注2:发生器宜以试验时相同的方式供电。
注3:相比图3的相反配置也可以使用。
如果能证明测鼠系统上的间接耦合路径不会影响校准结果,那么没有必要屏蔽示波器。
当如下情况时如果示波器结果没有任何触发,校准系统可认为有足够的抗扰度(即没有必要用法拉第笼):
示波器的触发电平设置小千等千最低测试等级的10%,和静电放电发生器对靶的外圈(不是内圈)进行最高等级的放电。
图4 ESD发生器放电电极
对空气放电试验方法使用相同发生器,且放电开关一定要闭合。 发生器应备有图4a)所示的圆形头。 因为使用同样的ESD发生器,所以没有对空气放电模式有更多的规范要求。
试验发生器中放电回路的电缆长为(2士0.0S)m,其构成应使发生器满足波形的要求。 放电回路电 缆的长度是从ESD发生器本体至连接点的末端。 它应有足够的绝缘以防止在静电放电试验期间放电 电流不通过其端口而流向人员或导电表面。
测试中使用的放电回路电缆应和校准中使用的电缆是相同的或等同的。
若2m长的放电回路电缆不够长(例如较高的受试设备),可以采用不超过3m长的电缆。试验中使用的电缆应符合波形规范。
ESD布置的验证
要验证正确的ESD试验布置,一种验证方法是观察在低电压设置时,对耦合板空气放电时产生的小火花和在高电压设置下的大火花。 在此验证之前,要验证接地带的连接和位置。
基本原理:因为来自ESD发生器的波形参数通常不会发生细微变化(例如:波形的上升时间和持续时间不会漂移),最可能的失效是ESD发生器电压未送至放电电极,或者是电压控制失效。 放电路径中的电缆、电阻或者连接导线的损坏、松脱或缺失,都会导致无法放电。
试验布置
图4 实验室试验时台式设备试验布置实例 图5 实验室试验时落地式设备试验布置实例
最后就是如何对ESD设备进行试验了,ESD产品通过了这些测试最后才能送到我们的服务商的手中,只有严格的测试和努力的研发才能保障好我们产品的质量,才能让服务商买的放心,让服务商有好的用户体验。
国产电磁兼容仪器设备-国际高端仪器设备代理商,可定制化,EMC行业研发制造,静电放电,汽车电子,家电照明,医疗优选。
深圳市霍达尔仪器有限公司是高端设备国产厂家,致力于国际国内领先EMS仪器设备数年。